If you’ve ever wondered what the cube root of 27 is, you’re in the right place! Understanding cube roots might seem daunting at first, but it’s actually quite simple once you know the basics.
When we talk about cube roots, we’re looking for the number that, when multiplied by itself three times, equals the original number. In this case, the cube root of 27 is 3, because 3 * 3 * 3 = 27.
cube root of 27
Calculating the cube root of 27
To find the cube root of a number like 27, you can use a calculator or do it by hand. One method is to guess and check different numbers until you find the one that works. In this case, trying 3 works perfectly!
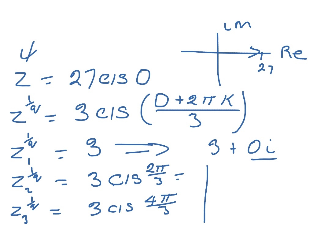
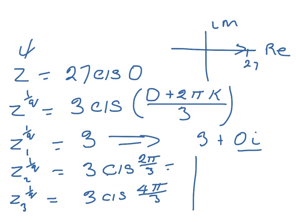
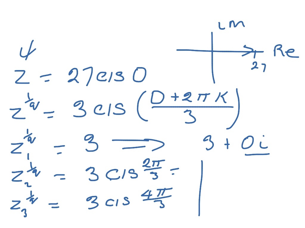
Another way to calculate cube roots is to use prime factorization. Breaking down 27 into its prime factors (3 * 3 * 3) and taking one of each prime factor gives you the cube root (3). It’s a handy trick for larger numbers!
Understanding cube roots is not only useful in math class but also in real-life situations. For example, if you’re working with volume or dimensions in geometry, knowing how to calculate cube roots can come in handy. It’s a skill that can be applied in various fields!
So, the next time you come across a number like 27 and need to find its cube root, remember the simple rule: the cube root of a number is the value that, when multiplied by itself three times, gives you the original number. In the case of 27, that magic number is 3!
Now that you know how to calculate the cube root of 27, you can impress your friends with your math skills or tackle more complex cube root problems with confidence. Keep practicing, and soon you’ll be a cube root pro!
Cube Root Of 27 Cube Root Of Negative 27 Cube Root Of Minus 27 YouTube
Complex Solutions Of Cube Root 27 YouTube
Complex Cube Roots Of 27 Math Complex Numbers ShowMe
Question Video Evaluating Cube Roots Nagwa




