Are you struggling with factoring the greatest common factor in your math class? Don’t worry, you’re not alone! Many students find this concept tricky at first, but with a little practice, you’ll be a pro in no time.
Factoring the greatest common factor worksheet can help you master this important skill. By breaking down numbers into their smallest common factors, you can simplify complex equations and make them easier to solve.
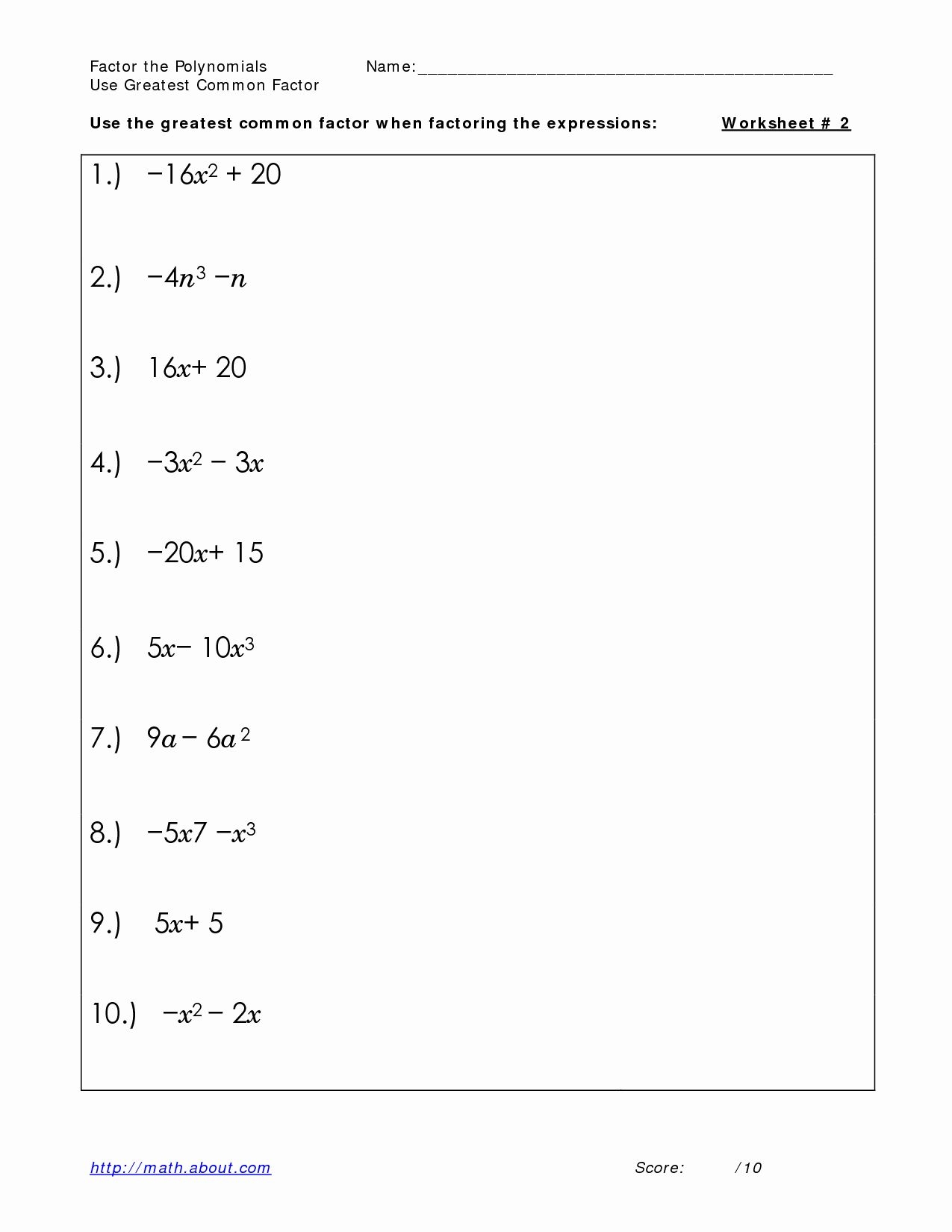
factoring greatest common factor worksheet
Mastering Factoring Greatest Common Factor Worksheet
Start by identifying the largest factor that divides evenly into all the numbers in the equation. This is known as the greatest common factor (GCF). Once you’ve found the GCF, divide each term in the equation by this number.
Practice factoring the GCF with a variety of different numbers and equations. The more you practice, the more comfortable you’ll become with this concept. You can find worksheets online or ask your teacher for extra practice problems to work on.
Remember to check your work carefully when factoring the GCF. It’s easy to make mistakes, so take your time and double-check your answers. If you’re unsure about a particular problem, don’t hesitate to ask for help.
As you become more confident with factoring the greatest common factor, you’ll start to see how this skill can be applied to other areas of math. Factoring the GCF is a fundamental concept that will help you solve more complex equations in the future.
Keep practicing and don’t get discouraged if you find factoring the GCF challenging at first. With time and perseverance, you’ll improve your skills and become a master at factoring the greatest common factor. Good luck!
Factoring Out A GCF Solve Match DIGITAL PRINT By Teach Simple
Edia AI Platform For Student Outcomes
Printable 5th Grade Greatest Common Factor Worksheets
Edia AI Platform For Student Outcomes




