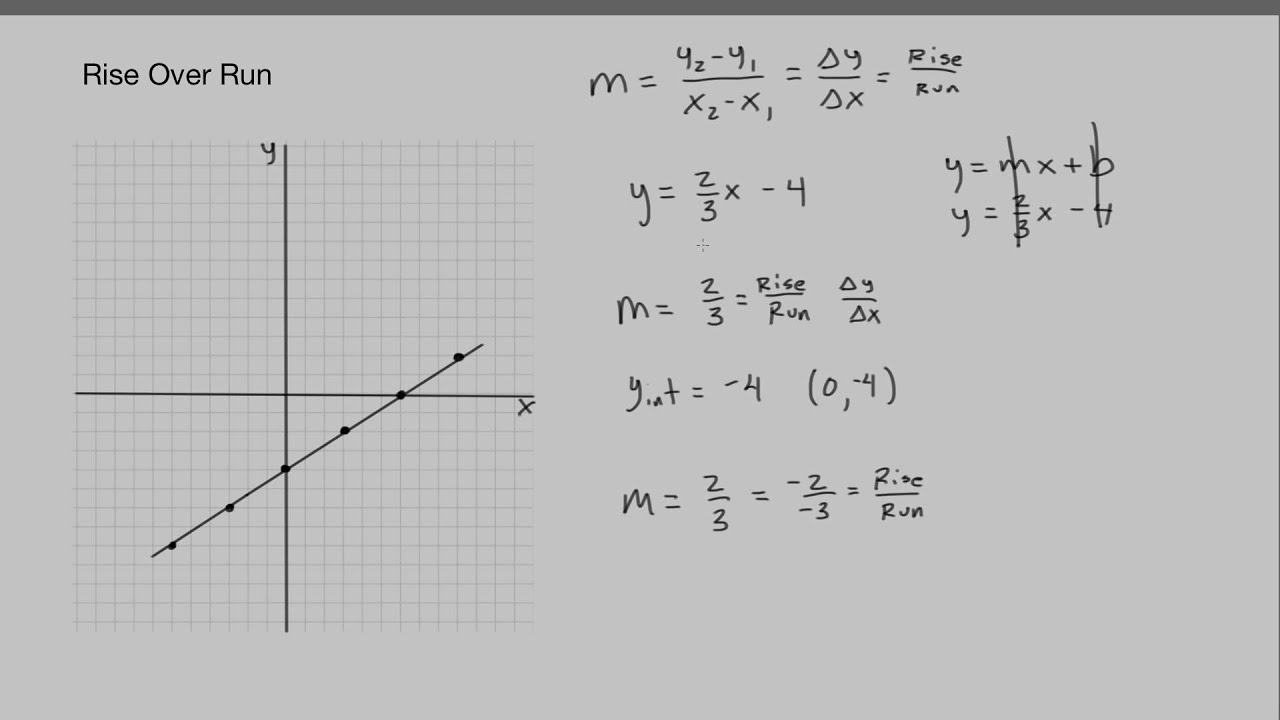
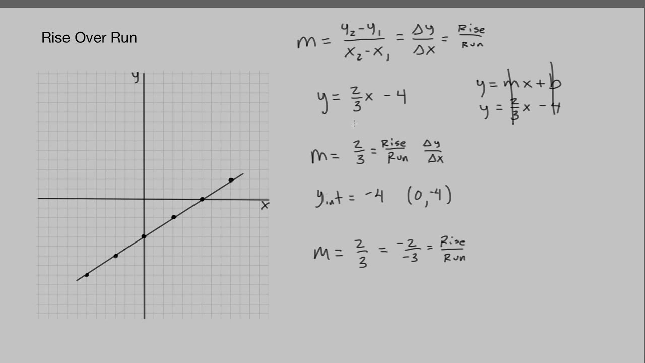
Have you ever wondered how to calculate the slope of a line? It’s a fundamental concept in mathematics and is essential for understanding many real-world applications. By learning how to find the rise over run, you can easily determine the steepness of a slope.
Imagine you’re hiking up a hill. The slope represents how steep the hill is. The rise over run method helps you quantify this steepness. Simply put, rise over run is the vertical change divided by the horizontal change between two points on a line.
is slope rise over run
What is slope rise over run?
For example, if you have two points (x1, y1) and (x2, y2) on a line, the rise is the difference in y-coordinates (y2 – y1), and the run is the difference in x-coordinates (x2 – x1). To find the slope, divide the rise by the run: (y2 – y1) / (x2 – x1).
The slope can be positive, negative, zero, or undefined. A positive slope means the line is rising from left to right, while a negative slope indicates the line is falling. A zero slope is a horizontal line, and an undefined slope is a vertical line.
Rise over run is a straightforward way to determine the slope of a line. Whether you’re studying algebra, geometry, or physics, understanding slope is crucial. It helps you interpret graphs, calculate rates of change, and solve real-world problems involving inclines, ramps, and gradients.
Next time you encounter a hill, staircase, or road, remember the concept of rise over run. It’s a simple yet powerful tool for analyzing slopes and gradients. By mastering this fundamental skill, you’ll be better equipped to navigate the ups and downs of both mathematics and everyday life.
In conclusion, slope rise over run is a key concept in mathematics that helps us measure the steepness of a slope. By dividing the vertical change by the horizontal change between two points, we can easily calculate the slope of a line. So, next time you encounter a slope, remember to rise over run!
Understanding Slope Rise Over Run YouTube
Rise Over Run YouTube
SLOPE RISE OVER RUN You Have To RISE Before You RUN YouTube
Using Rise Over Run To Find Rate Of Change On A Graph YouTube




